More Than Just Water
Why the Reaction is Simple but the System is Not
Textile to textile chemical recycling is often discussed as if the primary challenge lies in discovering new chemistry. In reality, much of the chemistry is already well understood. What remains unresolved is whether these pathways can be deployed at scale without colliding with constraints imposed by physics, thermodynamics, and separation. This piece is the first in a series examining textile to textile recycling technologies through that lens. It focuses exclusively on hydrolysis, not as a standalone reaction, but as an integrated system that couples molecular chemistry, transport phenomena, energy input, and downstream purification. Even hydrolysis alone warrants multiple deep dives to be treated properly. Subsequent pieces in this series will examine glycolysis, methanolysis, and other depolymerisation routes with the same level of technical scrutiny. The analysis here moves deliberately from fundamentals to system limits, covering hydrolysis fundamentals, reaction environments and activation, kinetics diffusion and morphology, feedstock accessibility and pretreatment, catalysis and its limits, thermodynamics and energy demand, product separation and purity, water salts and secondary flows, textile specific constraints, scale up failure modes, and finally the boundaries that determine where hydrolysis can and cannot be deployed responsibly.
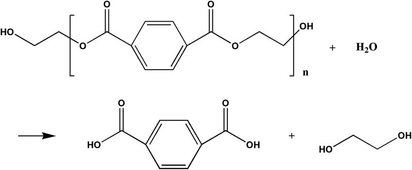
PET is a step growth polyester formed by condensation of terephthalic acid and ethylene glycol. In the forward direction, esterification and polycondensation produce water as a byproduct. Hydrolysis is the reverse operation. It is depolymerisation by water, in which the ester linkages in the polymer backbone are cleaved to regenerate the original monomers. If a PET chain is written as repeating ester units, the idealised overall reaction is
where C8H6O4 is terephthalic acid and C2H6O2 is ethylene glycol. This equation is chemically simple, but it is also misleading in a way that matters. It implies a homogeneous reaction with direct access of water to all ester bonds. In a real hydrolysis process, that access does not exist. PET is not appreciably soluble in water under ambient conditions, and the reaction proceeds at the surface and within accessible amorphous domains first. Hydrolysis is therefore a coupled chemical and transport problem from the very first bond cleavage.
At the mechanistic level, ester hydrolysis proceeds through nucleophilic acyl substitution. In its neutral form, water attacks the ester carbonyl, a tetrahedral intermediate forms, and the intermediate collapses to produce a carboxylic acid and an alcohol. In acidic conditions, the carbonyl is protonated first, increasing electrophilicity and lowering the activation barrier for attack. In alkaline conditions, hydroxide is the nucleophile, and the product is a carboxylate salt rather than a free acid. These distinctions matter later, but the invariant point is that bond cleavage requires reactive contact. Reaction cannot occur where water cannot reach, and in fibres that is the dominant physical constraint.
That constraint is set by polymer morphology. PET fibres are semi crystalline. Crystalline regions are dense, ordered, and resistant to penetration. Amorphous regions are less ordered, more mobile, and more accessible. Hydrolysis preferentially consumes accessible regions, which means the reaction front advances unevenly. The process is not simply reducing degree of polymerisation uniformly. It is creating gradients of conversion through a fibre cross section. This is why industrial hydrolysis is rarely described accurately by a single kinetic constant. The apparent kinetics are a composite of intrinsic chemical kinetics and mass transfer through a changing polymer structure.
A useful way to formalise this is to separate intrinsic and apparent rates. If r(chem) is the intrinsic rate of ester bond cleavage per accessible reactive site and A(eff) is the effective accessible interfacial area between polymer and aqueous phase, then the macroscopic rate of depolymerisation scales as
R ≈ A(eff) · r(chem)
This expression is not an exact law, but it captures the industrial reality. We can increase r(chem) by changing temperature or catalytic environment. We can increase A(eff) by shredding feedstock, swelling amorphous regions, or disrupting barriers. What makes hydrolysis hard is that both terms evolve during reaction. As accessible regions are consumed, A(eff) decreases or becomes less effective, even while r(chem) may remain high. This produces the long conversion tails that dominate reactor sizing.



